Mendapatkan invers dari suatu fungsi adalah mencari rumus fungsinya dalam bentuk x. Bisa dibilang mencari kebalikannya.
Contoh soal
Kita langsung coba contoh soalnya agar memudahkan pemahaman.
Soal :
1. Carilah invers dari fungsi f(x) = (2x+2)/(4x-3), x≠¾
1. Carilah invers dari fungsi f(x) = (2x+2)/(4x-3), x≠¾
Mari kita mulai.
- f(x) kita ganti dengan "y" untuk memudahkan atau menyederhanakan perhitungan
- Kalikan silang y dengan 4x-3
- Sedangkan 2x+2 tetap karena tidak ada kawan untuk kali silang
Kemudian :
- Buka kurung dari (4x-3) dengan mengalikan y ke suku yang ada di dalam kurung
- y dikali dengan 4x menjadi 4xy
- y dikali dengan -3 menjadi -3y
- Kumpulkan suku yang mengandung x di ruas kiri
4xy dan 2x di ruas kiri.
2x dipindahkan ke ruas kiri menjadi -2x - Kumpulkan suku yang tidak mengandung x di ruas kanan
2 dan 3y dikumpulkan di ruas kanan
-3y dipindah ke ruas kanan menjadi +3y
Terus :
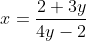
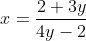
- Keluarkan x yang ada di ruas kiri (faktorkan dalam x)
- Untuk mendapatkan x, bagi 2+3y dengan 4y-2
Langkah terakhir :
- Setelah mendapatkan persamaan dalam bentuk x, sekarang kita tukar variabelnya
- x diubah menjadi y
- y diubah menjadi x.
Itulah invers dari soal diatas.
Soal :
2. Hitunglah invers f(x) = (x-3)/(3x+4), x≠-4/3
2. Hitunglah invers f(x) = (x-3)/(3x+4), x≠-4/3
- f(x) diganti y
- Kalikan silang y dengan (3x+4)
- Kalikan y dengan 3x menjadi 3xy
- Kalikan y dengan 4 menjadi 4y
- Kumpulkan yang mengandung x di ruas kiri
x dipindah ke ruas kiri menjadi -x - Kumpulkan yang tidak mengandung x di ruas kanan
4y dipindah ke ruas kanan menjadi -4y
Terus :
- Faktorkan x yang di ruas kiri
- Untuk mendapatkan x, bagi -3-4y dengan 3y-1
Sekarang ubah x menjadi y dan y menjadi x
Inilah invers yang dicari.
Baca juga ya :







Post a Comment for "Mencari invers fungi f(x) = (2x+2)/(4x-3), x≠¾"